AVALIAÇÕES
REC CAM
1) (1√) Certas algas vermelhas depositam carbonato de
cálcio em suas paredes celulares, sendo comuns em todos os oceanos do mundo,
crescendo sobre rochas a até 268 m de profundidade e em zonas costeiras
rochosas, formando o que chamamos de RODOLITOS. Tais algas são popularmente
conhecidas como:
(A) Algas
vermelhas filamentosas
(B) Algas vermelhas coralináceas
(C) Algas
vermelhas macroscópicas
(D) Kelps
(E) Talófitas
clorofíceas
2) (1√) Membros
do reino vegetal conquistaram a terra e evoluíram. O esquema abaixo representa
relações filogenéticas entre as algas carofíceas e quatro grupos de plantas
atuais. Cada círculo numerado (I, II, III e IV) indica uma aquisição evolutiva
compartilhada apenas pelos grupos que estão representados nos ramos adiante
desse círculo, durante o tempo evolutivo indicado.
Com base nas
informações acima e em outros conhecimentos sobre o assunto, assinale a
afirmação correta.
(A) A
aquisição representada pelo círculo II pode ser o surgimento de reprodução com
alternância de gerações com predominância da fase gametofítica diploide.
(B) A aquisição representada pelo círculo II poderia
ser surgimento de vasos condutores, como por exemplo o xilema, capazes de
conduzir água e sais minerais das raízes até as folhas, sendo essas estruturas
presentes somente a partir das pteridófitas.
(C) As
Briófitas apresentam poucas espécies aquáticas e nenhuma marinha e, juntamente
com as pteridófitas, independem da água para a reprodução.
(D) Nas
angiospermas, a reprodução sexuada com predominância da fase diploide como
também ocorre nas gimnospermas, o círculo IV pode representar o aparecimento de
anterozoides flagelados podem nadar até a oosfera.
(E) O círculo III pode ser
a capacidade de produzir órgãos reprodutivos vistosos e coloridos chamados de
flores, as quais também produzem o microgametófito e o megagametófito, grão de
pólen e óvulo respectivamente.
3) (10√) As plantas são
os objetos de estudo da Botânica e estão incluídas no Reino Arqueplastidae ou
Plantae. Julgue os itens a
seguir e marque V se forem verdadeiros e F se falsos.
|
(
V
)
|
Os vasos condutores de seiva:
xilema, que transporta essencialmente água e sais minerais, e o floema, que
transporta água, compostos orgânicos e sais minerais, aparecem primeiramente
em samambaias.
|
|
(
V
)
|
Toda célula verde de uma planta seja
ela briófita, pteridófita, gimnospermae ou angiospermae, pode sintetizar a
C6H12O6.
|
|
(
F
)
|
Nos musgos e hepáticas a fase
duradoura é o esporófito diplóide e vascularizado
|
|
(
V
)
|
Todos os representantes do reino
Arqueplastidae desenvolveram reprodução por meio de metagênese que foi
herdado das algas carófitas.
|
|
(
V
)
|
O desenvolvimento de tecidos
especializados no transporte de substâncias foi fator importante no processo
evolutivo dos vegetais terrestres, dado que viabilizou o aparecimento e o
sucesso de plantas de grande porte.
|
|
(
F
)
|
Todas as espermatófitas apresentam
flores e frutos características que as colocaram em vantagem na luta pela
sobrevivência
|
|
(
V
)
|
Nos musgos (briófitas) o esporo (n)
germina e forma um novo gametófito, que produzirá uma oosfera que ao ser
fecundada forma-se um zigoto 2n.
|
|
(
V
)
|
Nas angiospermas o fruto é o ovário desenvolvido.
|
|
(
F
)
|
As briófitas possuem o esporófito haploide e o gametófito diploide.
|
|
(
V
)
|
Quando falamos que uma planta que apresenta tecido vascular, não
possui ovário, não produz sementes e tem como geração dominante a
esporofítica, estamos nos referindo a uma samambaia.
|
4.(12√) Construa
um quadro comparativo entre briófitas, pteridófitas, gimnospermas e
angiospermas, quanto às seguintes características: estrutura, presença/ausência
de vasos condutores, fase dominante, reprodução e, por fim, características
típicas do grupo.
|
|
BRIÓFITAS
|
PTERIDÓFITAS
|
GIMNOSPERMAS
|
ANGIOSPERMAS
|
|
ESTRUTURA
|
Rizóide, caulídio, filídio
|
Raiz, caule
Folhas
|
Raiz, caule
Folhas
|
Raiz, caule
Folhas
|
|
VASOS CONDUTORES
|
Avasculares
|
Xilema
Floema
|
Xilema
Floema
|
Xilema
Floema
|
|
FASE DOMINANTE
|
Gametófito
|
Esporófito
|
Esporófito
|
Esporófito
|
Dicas
Estrutura:
partes do corpo
Vasos
condutores: tem ou não tem vasos (se tem colocar o nome deles)
Fase
dominante: Gametófito ou esporófito
5.(1√) O
grande sucesso das plantas fanerogâmicas (gimnospermas e angiospermas) pode ser
atribuído, dentre outras, a duas importantes adaptações desses organismos ao
ambiente terrestre. Apresente uma dessas adaptações e explique-a.
1) Tanto nas briófitas quando nas pteridófitas há dependência da água para reprodução, todavia uma característica nova que possibiliou a invasão da terra e sua conquista da terra foi a retenção do zigoto (esporófito) no gametófito materno (gametófito feminino), o que auxiliou muito na conquista do ambiente fora da água da água para reprodução.
2) Surgimento de tecidos condutores de seiva possibilitando alcançar grande altura. O surgimento dos tecidos possibilitou a permanência em terra, já que no ambiente aquático não havia raízes e na terra esses tecidos foram desenvolvidos pelas pteridófitas.
3) Propagação por meio de sementes. A propagação por meio de sementes possibilitou a dispersão das espécies em terra, facilitando a exploração de novos ambientes e com isso aumentando a diversidade.
REC CAUNI
1.(6√) As
plantas vasculares desenvolveram não só um sistema radicular que lhes permite
absorver, do exterior (solo), água e sais minerais, mas também um sistema
condutor formado por dois tipos de vasos que transportam água, sais minerais e
compostos orgânicos para toda planta.
Tendo
como referência o texto e as figuras I e II apresentadas acima, julgue os itens
e marque V se forem verdadeiros e F se falsos.
|
(
V
)
|
Os vasos referidos no texto são o
xilema, que transporta essencialmente água e sais minerais, e o floema, que
transporta água, compostos orgânicos e sais minerais.
|
|
(
F
)
|
Se a célula produtora mostrada na
figura 2 for uma célula da raiz, então um dos produtos sintetizados por ela é
C6H12O6.
|
|
(
F )
|
A figura 1 ilustra um vegetal cujo
sistema de transporte está esquematizado na figura 2.
|
|
(
F
)
|
Nos vegetais cujo sistema de
transporte corresponde ao ilustrado na figura 2, o gametófito é a fase
duradoura.
|
|
(
V
)
|
O desenvolvimento de tecidos
especializados no transporte de substâncias foi fator importante no processo
evolutivo dos vegetais terrestres, dado que viabilizou o aparecimento e o
sucesso de plantas de grande porte.
|
|
(
V
)
|
A planta da figura 1 não apresenta
nenhum tecido especializado para transporte.
|
|
(
V
)
|
Nos musgos (briófitas) o esporo (n)
germina e forma um novo gametófito, que produzirá uma oosfera que ao ser
fecundada forma-se um zigoto 2n.
|
2.(12√) Construa
um quadro comparativo entre briófitas, pteridófitas, gimnospermas e
angiospermas, quanto às seguintes características: estrutura, presença/ausência
de vasos condutores, fase dominante, reprodução e, por fim, características
típicas do grupo.
|
|
BRIÓFITAS
|
PTERIDÓFITAS
|
GIMNOSPERMAS
|
ANGIOSPERMAS
|
|
ESTRUTURA
|
|
|
|
|
|
VASOS CONDUTORES
|
|
|
|
|
|
FASE DOMINANTE
|
|
|
|
|
Dicas
Estrutura:
partes do corpo
Vasos
condutores: tem ou não tem (se tem colocar o nome deles)
Fase
dominante: Gametófito ou esporófito
Característica
do grupo: dizer a sinapomorfia do grupo.
3) (3√) “Um dos fatores de maior influência no aquecimento global é a liberação de gases poluentes provocada pelo uso de combustíveis fósseis. Três tipos são usados em larga escala pelo planeta: carvão mineral, petróleo e gás natural. Entre os três, o carvão é o maior vilão. Ainda assim, e apesar dos sinais cada vez mais preocupantes da mudança climática, o uso desse combustível parece longe de ser substituído por alternativas menos poluentes.” (Midia Jornalistica. Dez. 2008). Quais seriam as vantagens e desvantagens do uso do carvão vegetal quando comparado com o carvão mineral? Apresente duas vantagens e uma desvantagem e explique-as.
Vantagens
O carvão mineral apresenta maior eficiência energética comparado ao carvão vegetal e outras fontes de energia devido ao seu alto poder calorífico;
Produz grandes quantidades de energia por unidade de peso;
Pode ser encontrado em quase todas as regiões do planeta.
Desvantagens
O carvão mineral é considerado o combustível fóssil mais poluente do mundo, contribuindo para a poluição atmosférica;
Por ser uma fonte de energia não renovável, suas reservas podem se esgotar ao longo do tempo;
A combustão do carvão emite à atmosfera diversos gases poluentes;
Pode provocar explosões em virtude de sua facilidade de inflamar.
4)
A Floresta Nacional de
Goitacazes — FLONA — é a maior floresta urbana do Espírito Santo e a terceira
maior em extensão do Brasil. São 1,3 mil hectares de verde e animais
silvestres. Quem mora em Linhares tem como vizinhos animais como pica—pau,
veado, tamanduá, jacutinga, macaco-barbado, espécies de cobras (jiboia,
boipeba, jararaca), entre outros. Também é possível encontrar árvores
centenárias, como jequitibás, jacarandá e outras espécies remanescentes do
processo de desmatamento. (Adaptado de https://linhares.es.gov.br/fauna-e-flora/). Considerando os respectivos ciclos
de vida e de reprodução dos vegetais citados no texto, podemos dizer que neles
a geração:
a)
gametofítica é a predominante e eles apresentam sementes e frutos.
b)
esporofítica é a predominante e eles apresentam sementes, mas não têm frutos.
c)
gametofítica é a predominante e eles não apresentam sementes e frutos.
d)
esporofítica é a predominante e eles apresentam sementes e frutos.
e) gametofítica é a predominante e eles apresentam sementes, mas não têm frutos.
5)
Um experimento para demonstrar
de forma lúdica a condução de substâncias pelo corpo da planta, utiliza uma
flor branca (como o crisântemo), cujo caule é mergulhado em uma mistura de água
e corante. Após algum tempo, as pétalas começam a ser tingidas pela cor do
corante. O transporte de substâncias nos vegetais ocorre através de tecidos
específicos. No caso de substâncias como sacarose e aminoácidos, esse
transporte se dá através do(de):
a)
xilema
b) floema.
c)
estômatos.
d)
pelos absorventes.
e)
elementos de vaso.
6)
Em uma aula prática sobre o
Reino Plantae, foram coletados pelo professor exemplares de cada um dos grandes
grupos de plantas a serem estudados. O objetivo da aula consistia na
identificação e reconhecimento de cada um dos 4 grupos, com base nos materiais
práticos presentes na aula. A seguir estão os materiais empregados:
I.
estróbilos femininos e masculinos;
II.
filídios;
III.
folhas com a presença de soros;
IV.
flores hermafroditas.
Nesse
contexto, assinale a alternativa em que se apresente correta e respectivamente,
em relação aos materiais deixados pelo professor, os 4 grupos de plantas.
a)
Briófitas – Pteridófitas – Gimnospermas – Angiospermas
b)
Gimnospermas – Angiospermas – Pteridófitas – Briófitas
c)
Gimnospermas – Briófitas – Pteridófitas – Angiospermas
d)
Gimnospermas – Briófitas – Angiospermas – Pteridófitas
e) Gimnospermas –
Pteridófitas – Briófitas – Angiospermas
7)
Em um famoso programa de decoração na televisão, um paisagista recomendou o uso
de samambaias para os ambientes internos da casa e ciprestes para o jardim
externo. As plantas recomendadas pelo paisagista são exemplos de vegetais
classificados, respectivamente, como:
a)
briófitas e angiospermas
b)
gimnospermas e pteridófitas
c)
angiospermas e briófitas
d)
pteridófitas e gimnospermas
e)
angiosperma e gimnospermas
SEGUNDA CHAMADA
REC CAM E CAUNI
1) Os frutos são exclusivos das angiospermas, e a dispersão das sementes dessas plantas é muito
importante para garantir o sucesso reprodutivo, pois permite a conquista de novos territórios. A
dispersão é favorecida por certas características dos frutos (ex.: cores fortes e vibrantes, gosto e odor
agradáveis, polpa suculenta) e das sementes (ex.: presença de ganchos e outras estruturas fixadoras
que se aderem às penas e pelos de animais, tamanho reduzido, leveza e presença de expansões
semelhantes a asas). Nas matas brasileiras, os animais da fauna silvestre têm uma importante
contribuição na dispersão de sementes e, portanto, na manutenção da diversidade da flora.
CHIARADIA, A. Mini-manual de pesquisa: Biologia. Jun.2004. Adaptado.
Das características de frutos e sementes apresentadas, quais estão diretamente associadas a um
mecanismo de atração de aves e mamíferos?
a) Ganchos que permitem a adesão aos pelos e penas.
b) Expansões semelhantes a asas que favorecem a flutuação.
c) Estruturas fixadoras que se aderem às asas das aves.
d) Frutos com polpa suculenta que fornecem energia aos dispersores.
e) Leveza e tamanho reduzido das sementes, que favorecem a flutuação.
2) As gimnospermas e as angiospermas são plantas vasculares que apresentam raiz, caule e folhas. Uma característica comum apenas a esses dois grupos de plantas é a presença de:
a) rizoide, estrutura basal de fixação e fundamental para colonização de ambientes terrestres.
b) fruto, estrutura que protege as sementes e pode auxiliar na dispersão desses grupos de plantas.
c) sementes, que fornecem proteção ao embrião e podem estar expostas ou protegidas dentro de frutos.
d) vasos condutores, formados por células especializadas que transportam água e fotoassimilados.
e) esporos, cuja germinação através de mitoses sucessivas resulta em um gametófito multicelular.
3) Atualmente, as angiospermas dominam o ambiente terrestre. Para isso, essas plantas desenvolveram, ao longo do processo evolutivo, características que lhes permitiram colonizar os diferentes biomas terrestres. Identifique, nas características listadas a seguir, aquelas que foram importantes para o desenvolvimento do atual processo reprodutivo das angiospermas.
1. Fase gametofítica masculina reduzida.
2. Presença de elementos traqueais, como os elementos de vasos e respectivas placas de perfuração.
3. Presença da cutícula, uma estrutura de revestimento, que é uma substância graxa, de composição química de natureza complexa.
4. O produto da reprodução sexuada é protegido pelo fruto.
5. Desenvolvimento da estrutura floral, concomitante com o processo
de polinização biótica.
Assinale a alternativa correta.
a) Somente as afirmativas 1, 2 e 4 são verdadeiras.
b) Somente as afirmativas 1, 3 e 5 são verdadeiras.
c) Somente as afirmativas 1, 4 e 5 são verdadeiras.
d) Somente as afirmativas 2, 3 e 4 são verdadeiras.
e) Somente as afirmativas 2, 3 e 5 são verdadeiras.
4) Embryophyta, ou plantas terrestres, são organismos eucariotos multicelulares com órgãos reprodutivos especializados. Constitui um clado (monofilético) formado pelos descendentes de um ancestral comum fotossintétizante (que produz glicose a a partir do CO2 e luz) se caracteriza pela presença de um conjunto de adaptações à vida fora de água e que por isso é responsável pela colonização da terra-firme. O clado agrupa todas as plantas terrestres: as briófitas (hepáticas, antóceros e musgos), os licopódios, os monilófitas (ou samambaias) e as plantas com sementes, entre as quais as gimnospérmas e angiospérmicas. Leia as afirmações abaixo e julgue os itens marcando V ou F.
( F ) | Somente as briófitas e pteridófitas apresentam matrotrofia. |
( V ) | As plantas vasculares podem ser classificadas em criptógamas e espermatófitas. |
( V ) | A matrotrofia foi uma característica importante para a conquista da terra firme. |
( F ) | Folas, prótalo e os soros são estruturas características das briófitas. |
( V ) | O desenvolvimento de tecidos especializados no transporte de substâncias foi fator importante no processo evolutivo dos vegetais terrestres, dado que viabilizou o aparecimento e o sucesso de plantas de grande porte. |
( V ) | Os vegetais fanerógamos caracterizam-se pela presença de flores e sementes. |
( V ) | Nas samambais o esporo (n) germina e forma um novo gametófito chamado prótalo, que produzirá uma oosfera. Esta, ao ser fecundada forma um zigoto 2n. |
Outras alternativas
Nas gimnospermas, o óvulo situa-se em folhas carpelares abertas.
(F) As briófitas possuem o esporófito haploide e o gametófito diploide.
(V) A banana é um fruto partenocárpico.
(F) As briófitas são vegetais vasculares.
QUESTÕES PARA AVALIAÇÃO
Principais componentes químicos da fibra vegetal. Fonte: Adaptado de SANTOS, CODOLETTE & QUEIROZ, 2013.
1) Durante a extração do caldo de cana, a_____________ é realizada a fim de que a sacarose adsorvida ao material fibroso (tecido parenquimático) seja diluída e removida por lixiviação ou lavagem, num processo em contra-corrente, que favorece a passagem do soluto (sacarose) de uma região de maior para outra de menor concentração.
Assinale a alternativa que preenche CORRETAMENTE a lacuna existente no texto acima.
a) decantação
b) difusão
c) coagulação
d) floculação
e) embebição
2) Observe a figura abaixo e leia com atenção o texto.

Nos últimos anos vem se observando no mundo um grande interesse pela utilização de resíduos agrícolas na obtenção de combustíveis renováveis, tais como o bioetanol. A reutilização e reciclagem destes resíduos podem minimizar os problemas ambientais ligados ao seu acúmulo, diminuir o uso de combustíveis fósseis (com o uso do etanol as emissões de gases de efeito estufa são reduzidas entre 60% e 90%), além de resultar em uma melhora no aproveitamento da matéria-prima, que é de grande interesse na atualidade. No Brasil, apesar da grande produção de etanol a partir da sacarose de cana de açúcar, a produção de álcool a partir de fontes alternativas de substrato pode ser interessante, principalmente se associada à indústria já existente. A utilização do bagaço de cana certamente ocupa uma posição de grande destaque, sendo economicamente viável para a produção de combustíveis ambientalmente corretos. Para tornar a celulose mais acessível às enzimas celulolíticas, os materiais lignocelulosicos requerem um pré-tratamento para aumentar sua digestibilidade, pois são resistentes à bioconversão. O pré-tratamento do bagaço da cama com ácidos e/ou enzimas libera hemicelulose e ligno-celulose que por sua no final produzem tambem etanol.
Com base nas informações acima, assinale a proposição correta.
(a) A hidrólise da hemicelulose pode ser representada por:
(b) Hidrólise significa quebra pelo hidrogênio.
(c) O aumento da produtividade de álcool (etanol) por hectare pode ser conseguido pela carbonização da molécula de hemicelulose que libera etanol no final.
(d) A molécula de etanol produzida pelo processo tradicional (fermentação do caldo da cana) é diferente da molécula de etanol produzida pela fermentação do açúcar proveniente da lignocelulose.
(e) O pré-tratamento do bagaço da cama com ácidos e/ou enzimas libera lignina e celulose e hemicelulose. A lignina e celulose ao sofrer hidrolise liberam caldo de glicose e a hemicelulose libera pentose, ambas podem ser fermentadas produzindo etanol.
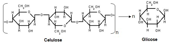
3) O amido e a celulose são polímeros formados por inúmeras moléculas de glicose e não são degradados ao menos que sua molécula seja quebrada em várias moléculas de glicose. Para que uma fermentação seja efetiva é importante que o amido seja quebrado em moléculas de glicose, que irão servir de substrato para as leveduras que a converterão em etanol, gás carbônico e água. O esquema representa, de maneira simplificada, o processo de produção de etanol utilizando milho como matéria-prima.
A etapa de hidrólise na produção de etanol a partir do milho é fundamental para que:
a) a glicose seja convertida em sacarose.
b) as enzimas dessa planta sejam ativadas.
c) a maceração favoreça a solubilização em água.
d) o amido seja transformado em substratos utilizáveis pela levedura.
e) os grãos com diferentes composições químicas sejam padronizados.
Fluxograma simplificado para a produção de etanol 1G e 2G a partir da cana-deaçúcar em uma biorrefinaria integrada.
A hidrólise de celulose gera glicose e celobiose (um dímero de glicose). Por outro lado, a hidrólise de ligninas e hemicelulose gera açúcares e subprodutos (principalmente, difenóis, derivados de fenilpropano, cetonas, furfural e ácido acético), que muitas vezes inibem a fermentação microbiana.
Pode-se dizer de uma maneira simples que a obtenção de etanol a partir de biomassa envolve duas etapas. A primeira consiste na hidrólise dos polissacarídeos, gerando mono e dissacarídeos. A segunda etapa envolve a fermentação dos monos e dissacarídeos em etanol. A hidrólise de celulose gera glicose e celobiose (um dímero de glicose). Por outro lado, a hidrólise de ligninas e hemicelulose gera açúcares e subprodutos (principalmente, difenóis, derivados de fenilpropano, cetonas, furfural e ácido acético), que muitas vezes inibem a fermentação microbiana.
Os processos hidrolíticos não são triviais devido às complexas interações entre hemicelulose e celulose presentes nas paredes celulares dos vegetais e entre estes polissacarídeos e ligninas; à natureza cristalina da celulose e, à barreira física formada por ligninas ao redor das fibras celulósicas. Por esta razão, a biomassa sofre um pré-tratamento para separar a matriz de lignina, reduzir a cristalinidade da celulose e hidrolisar a hemicelulose, separando o hidrolisado da celulose, a qual sofre tratamento específico para a obtenção de glicose. Esta revisão descreve as características estruturais e propriedades de materiais celulósicos, a estrutura e função do complexo celulase, o pré-tratamento de biomassa e a hidrólise de material celulósico. (
Ogeda & Petri, 2010)
Constituição da parede celular de uma planta.
– Estruturas parciais dos componentes lignocelulósicos. Fonte: Alonso
et al. (2012) [20]. (
Bispo, 2018)
Exemplo de compostos provenientes da decomposição térmica da
lignina, celulose e hemicelulose. Fonte: Adaptado de Zhang et al. (2007) [127] e
Mamaeva (2016) (
Bispo, 2018).
Representação esquemática da ação catalítica do complexo enzimático (celulase) sobre celulose com geração de glicose.
(Ogeda & Petri, 2010)
O sistema da celulase de fungos foi largamente interpretado
em termos de desenvolvimento substancial biológico molecular e
bioquímico para o fungo
Tricoderma reesei – o primeiro fungo a ser
utilizado na produção industrial de celulase, permanecendo ainda
como a fonte mais utilizada. De várias maneiras, este sistema foi
o sistema arquétipo desenvolvido de celulase. Muito da pesquisa
subsequente neste campo focou em mutação/seleção de melhores
descendências para comercialização da enzima, incluindo conversão
em biomassa. Além de celulases de fungos, há celulases produzidas
por bactérias aeróbicas e anaeróbicas.(
Ogeda & Petri, 2010)
T. reesei produz duas celobio-hidrolases, ao menos cinco endoglucanases e duas β-glucosidades.
Associe as duas colunas, relacionando O tipo de fermentação secundária com suas respectivas características.
Fermentação Secundária:
1. Fermentação Acética.
2. Fermentação Láctica.
3. Fermentação Butírica.
4. Fermentação do Dextrânio.
5. Fermentação do Levânio.
Características:
( ) O diagnóstico desse tipo de fermentação pode ser feito através do odor penetrante, caracterizado de ranço e pelo aumento da acidez. As condições de desenvolvimento bacteriológicas são anaeróbicas e em mosto pouco ácido, sendo temperatura ótima para as mesmas, de 30°C a 35°C.
( ) A presença dessa fermentação é diagnosticada pelo cheiro forte e, quando muito intensa, existe também o aparecimento de mosca. As temperaturas propícias para a fermentação estão entre 15°C e 34°C. Os teores alcoólicos inferiores a 11%, condicionam um meio ótimo para sua atuação.
( ) Essa fermentação consiste na oxidação parcial dos hidratos de carbono. As bactérias responsáveis por essa fermentação desenvolvem-se em mostos ácidos, muito próximo do neutro. De maneira geral, a faixa de desenvolvimento encontra-se entre 30°C a 45°C.
( ) É um tipo de fermentação secundária que pode ocorrer isolada ou simultaneamente com as demais, determinando o baixo rendimento das fermentações. O elemento que sofre a fermentação é um polissacarídeo formado através da sacarose.
( ) É um dos acidentes de fermentação mais frequentes das destilarias, como consequência da má matéria-prima empregada, especialmente melaço deteriorado e cana de açúcar queimada. O diagnóstico desse tipo de infecção é dado pelo aumento de viscosidade do mosto em fermentação.
A sequência CORRETA dessa classificação é:
a) 1, 2, 3, 5 e 4.
b) 2, 3, 1, 4 e 5.
c) 1, 5, 3, 4 e 2.
d) 5, 4, 2, 1 e 3.
e) 3. 1, 2, 5 e 4.
PRODUÇÃO DE ETANOL
DA CANA-DE-AÇÚCAR
Vantagens e desvantagens dos diferentes pré-tratamentos do bagaço da cama para produção de etanol
O pré-tratamento é considerado um dos processos mais importantes para a produção de biocombustíveis, com a função de aumentar a área de superfície da biomassa modificando as microfibras de celulose, ou seja, reduzindo sua cristalinidade, removendo hemicelulose e lignina, para torná-la digerível pelas enzimas. A modificação nas características estruturais da matriz lignocelulolítica pode ser realizada por vários tipos de pré-tratamento, os quais são classificados em físico, químico, físico-químico e biológico.4 Tendo em vista que o foco deste trabalho não é o pré tratamento, todas as biomassa passaram pelo mesmo tipo de prétratamento combinado.(Andrade et al., 2019)
Porcentagem de compostos lignocelulósicos e hemicelulose na madeira.
Medula: parte central do tronco, constituída por tecido com pouca espessura e pouca resistência, o que a torna suscetível a apodrecimentos causados por fungos. Tem por função armazenar nutrientes e realizar o transporte ascendente de líquidos (MARTINS et al., 2015). Lenho (Cerne e Alburno): camada interior que possui uma coloração mais escura (Cerne) na região mais próxima à Medula e uma coloração um pouco mais clara na região mais próxima ao Câmbio (Alburno). O Cerne é a camada com maior densidade e resistência perante fatores de degradação biológica. O Alburno é uma camada mais úmida e menos resistente que corresponde à parte mais jovem da madeira com células vivas, grande quantidade de água e nutrientes que garantem a condução da seiva bruta, desde a raiz até a copa. É nesta seção que estão localizados os anéis de crescimento (AMABIS; MARTHO, 1995 e CORREIA, 2009).Raios Medulares: trata-se de raios que se estendem de forma perpendicular ao eixo do tronco, da medula à casca e são muito importantes na classificação da madeira. Transportam nutrientes para as demais partes do tronco e contribuem para a rigidez da estrutura (AMABIS; MARTHO, 1995 e CORREIA, 2009). Anéis de Crescimento: as atividades do Câmbio variam de acordo com as mudanças climáticas em função das estações do ano, gerando anéis que podem ser identificados facilmente por meio de um corte transversal. Estes anéis representam os ciclos anuais que caracterizam a idade da espécie, os quais representam a transição entre os lenhos inicial e tardio formados anualmente, em que as atividades fisiológicas das plantas aumentam durante a primavera e diminuem durante o outono (ZENID; CECCANTINI, 2007). Câmbio: tem por função gerar novas células, pois é constituído por um tecido em constante transformação celular que são de suma importância para as demais camadas (AMABIS; MARTHO, 1995 e CORREIA, 2009). Floema: trata-se de uma subcamada da casca que é responsável pela proteção do tronco e por conduzir a seiva das folhas para o crescimento da árvore (AMABIS; MARTHO, 1995 e CORREIA, 2009). Casca: é a camada externa, com espessura irregular que contém duas partes: a Camada epidérmica, parte externa que é formada por células mortas que protegem o lenho e o Floema, formado por células vivas, conduzindo a seiva elaborada das folhas (AMABIS; MARTHO, 1995 e CORREIA, 2009).
O Brasil atualmente defronta-se com a perspectiva de um significativo aumento na demanda por etanol combustível. Esta previsão sustenta-se em certas realidades de mercado, como:
a) aumento do consumo interno de álcool hidratado devido ao sucesso dos automóveis flexi-fuel no mercado de veículos automotivos leves.
b) expansão das exportações brasileiras de etanol em função do crescente interesse mundial pela mistura deste à gasolina, como forma de diminuir as emissões de gases de efeito estufa (GEE).
Um caminho para solucionar o problema seria ampliar a produtividade de litros de álcool por hectare de cana plantada, aproveitando integralmente a biomassa da planta para produzir etanol. Essa rota recebe o nome de etanol lignocelulósico ou de 2a geração. Para obtermos etanol lignocelulósico são necessários, basicamente, dois processos: a hidrólise dos polissacarídeos em açúcares simples e a fermentação destes em etanol.
Bibliografia
0 comentários:
Postar um comentário